|
Schedule
at a Glance (see archives for older entries)
Written assignments should follow the HW guidelines.
|
|
|
W 1/22/14
|
Snow day.
|
|
|
Th
1/23/14
|
C period: Introduction; discussion of Fortran, COBOL, Grace Murray
Hopper.
E period: No class.
|
|
|
F 1/24/14
|
Both periods: Discussion of class policies, including Mr. Hansen’s three rules.
E period only: Introduction; discussion of Fortran, COBOL, Grace Murray
Hopper.
|
|
|
M 1/27/14
|
HW due: Send a test e-mail (double underscore required at beginning
of subject line) in which you identify yourself by name. See Mr. Hansen’s contact information if you forgot to
copy down the e-mail address in class last Friday.
In class: Formal vote on languages to study during the semester; beginning of
curriculum; a brief history of the digital electronic computer.
|
|
|
T 1/28/14
|
C period does not meet today.
HW due (E period): Visit eclipse.org/downloads
and download the Eclipse Standard 4.3.1 development environment for your
platform (32-bit or 64-bit). Download this onto either a laptop or a desktop
computer, or both if you have both.
In class: Installation of Java 7 Update 51 and Eclipse Standard 4.3.1.
|
|
|
W 1/29/14
|
HW due (C period): Same as yesterday’s assignment for E period, plus the
additional item shown below for E period.
HW due (E period): Visit http://java.com/en/download/installed.jsp and run
the procedure (see link on left side of page) for removing older versions of
Java. The only version you should keep on your machine is Java 7 Update 51.
In class (both C and E): Generations of programming languages.
|
|
|
Th
1/30/14
|
C period will meet for about half a period, and E period does not
meet today.
In class (C period): RAM, disk storage, flash RAM, cache RAM, price of computing,
Moore’s Law, KMGTPEZ.
|
|
|
F 1/31/14
|
HW due: Review your class notes. No additional written work is due.
In class (C period): Hex notation, “quite sizzly”
rules, 162 = 256, 210 = 1024.
In class (E period): Quiz, RAM, disk storage, flash RAM, cache RAM. We will
catch up on price, Moore’s Law, KMGTPEZ, hex notation, “quite sizzly” rules, 162 = 256, and 210 =
1024 on Monday.
|
|
|
M 2/3/14
|
HW due (everyone):
1. Download the Java
textbook, and read Chapters 1 and 2, which are numbered as pp. 1-22 in
the page headers. Reading notes are required (see link at top of calendar for
the HW guidelines for standard formats). Your reading notes may be brief, and
legibility is up to your judgment alone, but you must have some reading
notes.
2. Write Exercise 1.1 (all 3 parts) on p. 11. Again, follow the standard HW
guidelines given in the link at the top of the calendar. We will do Exercises
1.2 and 1.3 in class, but you are welcome to work ahead if you wish.
In class (E period): Price of computing, Moore’s Law, KMGTPEZ, hex notation,
“quite sizzly” rules, 162 = 256, and 210
= 1024. C period has already covered these topics.
Both classes: 1 byte = 8 bits = 2 hex digits; 1 nybble
= 4 bits = 1 hex digit.
|
|
|
T 2/4/14
|
HW due:
1. Read the paragraph at the top of p. 12, above Exercise 1.3.
2. Perform Exercise 1.3, parts 1-9. Describe your findings briefly on your HW
paper.
3. Perform Exercise 2.2 on pp. 22-23. After your program runs correctly,
transcribe it onto your HW paper. Use the “quite sizzly”
rules for any variable names. Note:
Be sure to include at least one comment line beginning with double forward
slash ( / / ).
In class: A quiz (10 pts.) is
possible on the words found in the glossaries on pp. 9-11 and pp. 21-22
|
|
|
W 2/5/14
|
HW due:
1. Finish up yesterday’s assignment if you have not already done so. See Mr. Hansen
before 3:30 p.m. today (Wednesday) for additional credit if you did not earn
full credit on Tuesday.
2. Read Chapter 3, pp. 25-37. Reading notes are required, as always.
|
|
|
Th
2/6/14
|
No class.
|
|
|
F 2/7/14
|
HW due: Study the glossaries at the ends of Chapters 1-3. A
closed-notes quiz is possible. There is no additional reading or writing
assignment due, since many students had a play to attend on Wednesday night
and were unable to do much HW that night.
|
|
|
M 2/10/14
|
HW due: Pick a partner, if you wish, and start writing a program to
answer the problem described below. Everyone must have something written (or
printed out) to show today. If you have a partner, then each partner should
have something written (or printed out) to show today.
Completion is not expected. Correctness is not expected. However, effort and
written evidence of work are
expected. All written work should be 3-hole punched and stored in your
binder.
Problem: Given any date between 01/01/1900
and 12/31/2099, inclusive, determine the day of the week.
We will do this by adding the number of 12’s found in the final pair of
digits in the year (YY), plus the remainder, plus the number of 4’s found in
the remainder, plus the month code, plus the day value. That result is then
divided by 7, and the remainder tells us the day of the week (0 = Sunday, 1-5
= Monday through Friday, 6 = Saturday). Integer arithmetic is used
throughout.
Month codes for January through December are 0 3 3
6 1 4 6 2 5 0 3 5.
Exceptions: Subtract 1 if the date is in January or February of a leap year.
Subtract 1 if the year is 2000 or greater. (That means that if the date is in
January or February of a leap year and
in a year greater than or equal to 2000, you must subtract 2.)
Examples that you can try with your program to see if it gives the correct
result:
09/11/2001
YY = 01
Integer division by 12 gives 0, with remainder 1, and there are 0 “fours” in
that remainder of 1. Month code is 5 for September, and the day is 11. Total
is 0 + 1 + 0 + 5 + 11 – 1 = 16, and the remainder when 16 is divided by 7 is
2. Answer: Tuesday.
02/10/2014
YY = 14
Integer division by 12 gives 1, with remainder 2, and there are 0 “fours” in
that remainder of 2. Month code is 3 for February, and the day is 10. Total
is 1 + 2 + 0 + 3 + 10 – 1 = 15, and the remainder when 15 is divided by 7 is
1. Answer: Monday.
11/22/1963, the day John F. Kennedy was assassinated
YY = 63
Integer division by 12 gives 5, with remainder 3, and there are 0 “fours” in
that remainder of 3. Month code is 3 for November, and the day is 22. Total
is 5 + 3 + 0 + 3 + 22 = 33, and the remainder when 33 is divided by 7 is 5.
Answer: Friday.
10/29/1929, the day the stock market crashed (“Black Tuesday”)
YY = 29
Integer division by 12 gives 2, with remainder 5, and there is 1 “four” in
that remainder of 5. Month code is 0 for October, and the day is 29. Total is
2 + 5 + 1 + 0 + 29 = 37, and the remainder when 37 is divided by 7 is 2.
Answer: Tuesday.
02/29/2012, the most recent leap day
YY = 12
Integer division by 12 gives 1, with remainder 0, and there are 0 “fours” in
that remainder of 0. Month code is 3 for February, and the day is 29. Total
is 1 + 0 + 0 + 3 + 29 – 1 – 1 = 31, and the remainder when 31 is divided by 7
is 3. Answer: Wednesday.
|
|
|
T 2/11/14
|
HW due: Continue working on your day-of-the-week program. Some
additional things to keep in mind:
1. Be sure to include comments. At a minimum, comments must include your name,
the revision date, and an explanation of any variables or lines of code that
are not already “self-documenting.”
2. Use of descriptive variable names is encouraged.
3. When checking for errors, you should not only verify that the given date
is within range (between 01/01/1900 and 12/31/2099, inclusive) but also that
the date is valid. For example, 02/29/1900 and 04/31/1929 should both be
rejected.
4. When your program is working correctly, move it from being a standalone
module (i.e., public static void main) to being a method (e.g., public static
String DayOfWeek) that accepts one or more
arguments for the date and returns a string for the day of the week. That
will allow you to call the DayOfWeek method dozens
of times from within your main routine, and that will vastly improve your
ability to perform error checking. Hint:
Your method can return an error message as a String instead of the name of
the day of the week if the input is invalid. If you can’t do this on your
own, do as much as you can, and we will work on it together in class.
|
|
|
W 2/12/14
|
HW due: Continue working on your DayOfWeek
method. Make sure that it returns a String and that it works correctly when
called from the main method by a statement like this:
System.out.println(DayOfWeek(1,21,2004));
Your DayOfWeek method should accept integers in the
format MM, DD, and YYYY as input, and it should return a string (by means of
the return statement) to the main method. Try to do as much of this as you can
outside class, and we will work on it again during class.
In class: Mr. Hansen will replace the contents of your main method with a
“test suite” consisting of a few dozen lines similar to the one above.
|
|
|
Th
2/13/14
|
No school (snow).
|
|
|
F 2/14/14
|
No school (teacher
professional day).
|
|
|
M 2/17/14
|
No school (holiday).
|
|
|
T 2/18/14
|
Here are some test data lines that you can paste into your main
method:
System.out.println(DayOfWeek(11,11,1964));
System.out.println(DayOfWeek(-4,27,1927));
System.out.println(DayOfWeek(-9,14,2013));
System.out.println(DayOfWeek(-3,29,1944));
System.out.println(DayOfWeek(16,1,2008));
System.out.println(DayOfWeek(17,6,1992));
System.out.println(DayOfWeek(5,23,1956));
System.out.println(DayOfWeek(-5,30,2085));
System.out.println(DayOfWeek(10,21,2007));
System.out.println(DayOfWeek(-4,-4,1958));
System.out.println(DayOfWeek(5,-6,1978));
System.out.println(DayOfWeek(2,12,2027));
System.out.println(DayOfWeek(-7,-9,1895));
System.out.println(DayOfWeek(-6,28,2067));
System.out.println(DayOfWeek(0,1,1918));
System.out.println(DayOfWeek(6,24,1879));
System.out.println(DayOfWeek(17,17,1965));
System.out.println(DayOfWeek(-12,-4,1947));
System.out.println(DayOfWeek(6,-11,2054));
System.out.println(DayOfWeek(-10,-9,2010));
System.out.println(DayOfWeek(8,-7,1882));
System.out.println(DayOfWeek(5,16,2020));
System.out.println(DayOfWeek(-5,8,1927));
System.out.println(DayOfWeek(2,5,2097));
System.out.println(DayOfWeek(-6,0,1966));
System.out.println(DayOfWeek(5,18,1970));
System.out.println(DayOfWeek(-8,14,1897));
System.out.println(DayOfWeek(12,21,2111));
System.out.println(DayOfWeek(4,28,1928));
System.out.println(DayOfWeek(-5,-12,1928));
System.out.println(DayOfWeek(-5,8,1951));
System.out.println(DayOfWeek(-7,10,2070));
|
|
|
W 2/19/14
|
Quiz will cover glossary terms (Chapters 1-3 only), thinking like a
computer, thinking like a programmer, and possibly some short snippets of
code to write.
HW due today: Write 20-30 test cases for putting your program through its paces
(or more than 30 if you wish). Instead of using all randomized data, use the
guidelines given in class for constructing good test cases. Try to fix all of
the bugs in your program so that it passes all of your test cases. Then you will be ready for alpha testing,
which we will begin today in class.
|
|
|
Th
2/20/14
|
No class.
|
|
|
F 2/21/14
|
HW due:
1. Improve your test data. In C period, the example we looked at had good
coverage of error conditions but insufficient coverage of valid dates. In E period,
the situation was largely reversed: reasonably good coverage of valid dates
but insufficient coverage of error conditions, boundary cases, and multiple
errors within the same input. Note:
Thorough coverage of valid dates would require thousands of test cases. Don’t
carry it to that extreme.
2. Exchange your improved test data with someone else in either section (C or
E period, your choice), and act as each other’s alpha tester. Work with the
other student to understand the discrepancies between what both of your
programs produce in response to both sets of test data. Label each
discrepancy as “WAD” (works as designed), “potential bug,” or “known bug.”
For example, if your program validates years first, and your friend’s program
validates months first, then a call to DayOfWeek(14,7,2108)
might cause your program to return “ERROR--year out of range [1900,2099]”
while your friend’s program returns “ERROR--month must be between 1 and 12,
inclusive.” You would label this situation as WAD, since both programs are
working exactly as they were designed.
3. NOTE:
Although you may share ideas, no copying or pasting of code between students
is allowed. An exception is made for test data written as lines of code. For
example, it is OK (and expected) that you will share lines such as
System.out.println(DayOfWeek(7,21,1892));
but you are not permitted to e-mail or copy-and-paste snippets such as
if (year % 4 == 0) {
running_tally
= running_tally - 1;
leap_year_flag
= 1;
}
4. When both programs appear to be working correctly on both sets of test
data, ask one or more family members to act as beta testers. Do not steer
your beta testers toward any particular type of test data, other than to tell
them that 3 integers are required. (The compiler will automatically reject
any non-integer input.) It is quite common to find bugs during beta testing
that were not caught during alpha testing. Good luck!
5. Copy and paste your source code for your entire Java class (including your
personal set of improved test data) into the body of an e-mail message whose
subject line is formatted as follows:
__20140220 DayOfWeek
ver. 0.90 beta [Lastname, Firstname]
Comments in your code should include your name, the due date (20140220), the
version number (0.90 beta), the names of your alpha and beta testers, and a
brief description of what you learned during alpha and beta testing. Send
your message to Mr. Hansen.
NO ATTACHED FILES WILL BE ACCEPTED.
SEND YOUR CODE AS TEXT PASTED INTO THE BODY OF AN E-MAIL MESSAGE.
In class: We will conduct a code review of randomly chosen students’
programs. Don’t worry if your program isn’t quite perfect yet. It’s still in
beta!
|
|
|
M 2/24/14
|
HW due: Using some of the hints you learned during last Friday’s code
review, prepare an even better beta version of your program. Use the
following subject line:
__20140224 DayOfWeek
ver. 0.95 beta [Lastname, Firstname]
Note: If time permits, some
individual comments on your previous submission may be sent to you by e-mail
before midnight on Saturday evening. Try to incorporate these suggestions
into your 0.95 beta release. If you receive nothing by midnight Saturday
evening, you may assume that the general suggestions given in class on Friday
are adequate for your situation.
|
|
|
T 2/25/14
|
No class (Diversity Day). A double assignment is posted for tomorrow.
|
|
|
W 2/26/14
|
HW due:
1. Read Chapter 4 (pp. 39-47) if you have not already done so. Much of this
material should be familiar to you already, since you have already made use
of it in your DayOfWeek method.
2. Read Chapter 6 (pp. 55-68).
3. Write Exercise 6.2 on p. 69. Perfection is not expected. Effort (and
written evidence of that effort) are expected. Bring a hard-copy printout of your code to class.
4. Suppose that you have advanced to the rank of division manager at a
medium-sized software firm. One of your programmers comes to you and proposes
that she receive, instead of an annual salary, a simple fee based on
so-and-so-many cents per line of code that she writes.
(a) Would you accept such a proposal? Why or why not?
(b) If your boss, the senior vice-president for technology, insists that you
honor your programmer’s proposal, what additional clauses would you insert
into your programmer’s contract to make sure that she does not take undue
advantage of the situation?
|
|
|
Th
2/27/14
|
No class.
|
|
|
F 2/28/14
|
HW due: Write Exercise 6.9 on p. 73. Skip the optional challenge on
p. 74. Note: The book should have
said that n is a nonnegative
integer. Therefore, include an error-checking line that prints a message if n < 0. If n = 0, that is usually not an error; the return value is always 1
if n = 0, unless x is also 0, in which case a different
error message should be printed: “Zero to the zero power is undefined.”
In class: Recursion.
|
|
|
M 3/3/14
|
HW due: Answer the following questions. These will not be collected
until tomorrow (Tuesday), but on Monday you should be able to demonstrate
significant written evidence of progress toward the goal.
1. In C period, we came up with the following code for our power method.
public static double
power(double x, int n) {
if (n==0) {
if
(x==0.0) {
System.out.println("ERROR! UNDEFINED!");
return
-9999999.9; //error value
}
return
1;
}
return (x *
power(x, n-1));
}
(a) Is this method recursive? How can
you tell?
(b) One bug this method has is that a negative value for n will cause a major failure. Identify the problem (using the
terminology from our class) and explain why the problem occurs.
(c) Come up with a fix for the bug described in part (b). Test your fix to
make sure it works. (A handwritten code snippet or a printout of your source
code is required.)
(d) Another bug in the method as written above is that 0 raised to a positive
power, which should return 0, will instead return an error message and an
error value. There are several ways to correct this bug. Find a way, and test
it to make sure it works. (A handwritten code snippet or a printout of your
source code is required.)
Note: If you wish to make a single
printout that addresses both (c) and (d), be sure to use comments to indicate
which lines are fixing which bug.
2. Mr. Hansen’s grandmother, who died at age 96, would always answer the
question, “What time is it?” by saying, “A little later than it was a little
while ago.” Even though Mr. Hansen was too young to read a clock, he was able
to add fractions. Assume (1) that the phrase “a little later” always meant
about half an hour, (2) that Mr. Hansen asked his grandmother the time at approximately
half-hour intervals, and (3) that the young Mr. Hansen always woke up at 8:00
a.m. and knew what time it was then, because that is when he always woke up.
(a) Write a paragraph explaining how the young Mr. Hansen could have used a
stack (LIFO) of slips of paper in order to determine the time, at least to
the nearest hour.
(b) Is the procedure you described in part (a) recursive? If your answer is
“yes,” then how can you tell, and what is the base case? If your answer is
“no,” then how can you tell that the procedure is not recursive?
3. Write Exercise 6.10 on p. 64.
In class: Glossary Quiz (possibly
a double quiz) covering terminology from the glossaries of Chapters 1, 2, 3,
4, and 6.
|
|
|
T 3/4/14
|
HW due: Complete the 3 problems assigned over the weekend. If you
finished them all yesterday, then you have no additional written HW. Hooray!
In class: Review.
|
|
|
W 3/5/14
|
NORMAL CLASS, EXCEPT ON A FRIDAY
SCHEDULE. The event that Mr. Hansen
was originally supposed to attend today has been canceled. Today is a
“Friday” schedule with short periods.
HW due: Review problems of your own choosing. Keep a time log to document at
least 35 minutes of time on task. A hard copy of your time log is required,
but if your review consists of programming problems, a hard copy of your work
on those problems is not required for today.
In class: Review.
|
|
|
Th
3/6/14
|
No class (as usual). Note:
The review period originally scheduled for today has been canceled and will
be held on Wednesday instead.
Here is Ellie’s
Quizlet for learning your vocabulary words. Note: This is offered “as is” and is
not guaranteed to be 100% free of errors. However, you will probably find it
useful. Thanks to Ellie from the E period section!
And here is George’s
Quizlet, similar but with some of the in-class
terminology. Note: As with
Ellie’s Quizlet, this is offered “as is” and is not
guaranteed to be 100% free of errors. Thanks to George from the C period
section!
Some terms and concepts covered in class (e.g., hexadecimal, binary, 1GL,
2GL, 3GL, 4GL, DLL, Moore’s Law, KMGTPEZ) are not currently included in the Quizlet. However, you are still responsible for knowing
them.
|
|
|
F 3/7/14
|
Test (100 pts.) on Chapters 1, 2, 3,
4, and 6, plus everything discussed in class.
|
|
|
M 3/10/14
|
As announced at the test last Friday, there is no additional HW
assignment due today. Get some good sleep! Enjoy the beautiful weekend
weather!
|
|
|
T 3/11/14
|
HW due:
1. Read the glossary to Chapter 7 (p. 86) and all of Chapter 8 (including the
glossary). Reading notes are required, as always. Reading notes are for your
benefit and are not required to be especially legible. However, they must be
in handwritten form.
2. Write Exercise 7.1 on p. 87. Use a table similar to the one shown below to
organize your work.

3. Write Exercise 8.1 on p. 100. Be sure to use a loop counter to step
backwards through the string. Here is some pseudocode
to get you started, but you do not need to use it if you prefer to use your
own approach:
public static void ReverseString(String InputString) {
let maxlen = length of InputString;
let i = maxlen; //scratch (loop counter)
while i is still positive {
print the “i”th character of InputString
(but not println)
decrease i
by 1
}
println //so that all the accumulated
characters are printed on a single line
}
Note that your code must be in “real Java,” not the phony pseudo-Java used
above. Bring a hard-copy printout of your code to class. (A handwritten
version is also acceptable, since this method is so short.) If time permits,
test your code by calling your method from main with a line such as
ReverseString("Washington,
D.C.");
Also, note that the loop needs no input error checking, since the loop is
never entered if InputString is a null string.
|
|
|
W 3/12/14
|
HW due:
1. Read Chapter 9 (pp. 107-116, including the glossary). Reading notes are
required, as always.
2. Below is a (bad) attempt to implement yesterday’s Exercise 8.1. Correct
all the syntactic and semantic errors, and provide a comment (either
handwritten or as a Java comment) for each change you make. Make sure that
your final version works correctly, and test it with a variety of test data
as input, including the null string. Make a hard copy (either printed out or
handwritten) of your final working version.
public static void main(String[] args)
{
System.out.println(ReverseString("Washington, D.C."));
}
public static void ReverseString(String InputString) {
maxlen = length(InputString);
i = maxlen; //scratch (loop counter)
while
(I > 0) {
System.out.print(InputString.charAt(i));
i++;
}
System.out.println(""); //so that all accumulated characters are
printed
}
|
|
|
Th
3/13/14
|
No class.
|
|
|
F 3/14/14
|
Happy Pi Day! HW due:
1. Reread Chapter 9, at least one more time. Twice more is recommended, since
there is a lot of difficult material there, and it takes a while to soak in.
As you come up with questions, write them in your reading notes.
2. Do Exercise 9.3 on pp. 118-119 (all 4 parts as described below). Before
you begin, be sure to read the documentation of the grow method at the link provided.
Part 1. Make a sincere effort to answer part 1 without entering the program into
Eclipse.
Part 1A: Then, run the program and see what you can
learn about the difference between what happened and what you thought would happen. Write a short
paragraph comparing the output that you saw versus what you thought you would
see. Explain what, if anything, you learned from the exercise. If your
initial prediction was completely correct, then perhaps you learned nothing,
and you can write that, but that would be unusual. Remember, we learn much
more from our failures (including inaccurate predictions) than we learn from
our successes.
Part 2: Draw the state diagram as requested, using
the notational style and arrows illustrated in the text.
Part 3: Answer the question about aliasing. Be sure
to explain your answer.
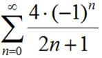
3. Pi can be calculated by adding up the following infinite series: .
The notation, which may not be familiar to you, can be interpreted as
follows: “The summation, starting from n
= 0 and proceeding for all integer values 0, 1, 2, 3, and so on, of terms
equal to 4(–1)n/(2n + 1).” The notation is a shorthand
for writing out the following:

The notation uses a capital sigma, the Greek letter that traditionally
indicates a sum. (Get it? S for sigma and sum?)
Obviously, we can’t add terms from 0 to infinity. However, we can write a
Java program that uses a loop to add up the first 5000 terms (i.e., terms
where n = 0 through n = 4999). Do this, and see how close
your answer is to the true value of pi by printing your answer after exiting
the loop. Hint: Use a double
variable called sumInProgress, initially set to
0.0, to store the sum. Inside your loop, add 4.0/(2*n+1) to the previous
value of sumInProgress if n is even, and subtract 4.0/(2*n+1) from the previous value of sumInProgress if n
is odd.
|
|
|
M 3/17/14
|
Snow day (no school). Happy St. Patrick’s Day!
|
|
|
T 3/18/14
|
HW due:
1. Read Chapter 12 (pp. 149-158, including the glossary). Reading notes are required,
as always.
2. Write Exercise 9.1. Use any format you find helpful for part 1. Try to do
part 2 without entering the code into Eclipse; then try it and see how close
your prediction was.
3. Write Exercise 12.5. Hard copy (handwritten or printout) is preferred, but
for today, a running copy of your code on a computer will be acceptable.
4. Write Exercise 12.7.
5. Write Exercise 12.12. For now, pseudocode is
acceptable. We will write actual Java code in class.
In class: Finish Exercise 12.12 and review for tomorrow’s quiz.
|
|
|
W 3/19/14
|
Big quiz on all recent material. Terms added to the board
yesterday were as follows:
reserved
backward compatibility
error checking
firmware (software embedded in hardware)
degrading gracefully
abend
BSOD
PEBKAC
WAD
“Users are losers.” (Not really. However, it sometimes seems that way.)
unit testing
regression testing
end-to-end (system) testing
acceptance testing
test plan
log file
dump (PMD)
refactoring
BIOS
|
|
|
|
Spring break. Your quarter grade will be e-mailed to you by
approximately March 31 or April 1.
|
|
|
M 3/31/14
|
No additional HW due.
|
|
|
T 4/1/14
|
HW due: Download the online
C++ text and read Chapters 1 and 2 (pp. 1-19). This should go quite
quickly, since the book is by the same author who wrote the Java text we
used, and you can focus on the syntax differences between Java and C++. You
will find that the languages are quite similar—but just different enough to
drive you crazy at times.
Reading notes are required (as always).
|
|
|
W 4/2/14
|
HW due:
1. Write a C++ program that declares and initializes an integer (not string) variable to your birthdate
in the format YYYYMMDD. The program should then use mathematical operations
(integer arithmetic, modulo arithmetic) to print output formatted as follows:
The date is MM/DD/YYYY.
Remember to include at least one comment line in your program.
If your birthdate was March 15, 1998, then your
integer variable would have the value 19980315, and your output would look
like this:
The date is 3/15/1998.
Hint: You may wish to sneak a peek
at Chapter 4 (p. 33). Integer division and modulo arithmetic should look like
old friends to you by now.
2. Write the same program in Java. Include a comment line in which you
comment on which version is easier, or if they are about the same.
3. If you have a C++ IDE (integrated development environment) at home, go
ahead and execute both programs to make sure that they run. If you do not
have an IDE at home, use longhand for now. Bring your hard copies (either
from the IDE or written out in pencil) to class.
Note: We will enter the program on
the lab computers later, after Eclipse for C++ is installed (probably by this
weekend).
|
|
|
Th
4/3/14
|
No class.
|
|
|
F 4/4/14
|
HW due:
1. Read Chapters 3 and 4 (pp. 21-40) in the C++ text. Reading notes are
required, as always.
2. Write a short educational program in C++ that uses recursion to teach the concept
of factorials to junior-high students. If you have a working IDE (Integrated
Development Environment) and compiler, go ahead and test your code with
several different starting values. Otherwise, just write out your code using
pencil and paper, and use stack diagrams (like the ones we used in Java) to
make sure that your code is essentially correct. The requirements are as
follows:
(a) At least one “fancy comment” block is required. You can put this at the
beginning or at the end, or if you can find a suitable place in the middle,
that is also permitted.
(b) An int variable, in main, should be initialized
to an integer value of your choosing. Use any name you wish for this
variable.
(c) The educate_factorial function will then be
called, using that int value as the argument.
(d) The educate_factorial function must perform
error-checking by immediately rejecting any value less than 0 or greater than
12. The function will print a suitable error message and will not proceed any
further (i.e., will return) in that case.
(e) If the input is 0, the educate_factorial
function must print the number 1 and a newline character.
(f) If the input is any valid integer other than 0, the educate_factorial
function must print that integer followed by a space and the word “times” and
another space; after that, a suitable recursive call to educate_factorial
must be made.
3. Why is 13 considered invalid input for the program described in #2?
|
|
|
M 4/7/14
|
HW due: In keeping with the spirit of the NCS Backpack By Choice
(BBC) weekend, there is no homework over the weekend. However, if you would
like to get a little bit ahead and have an easier workload heading into
Tuesday, then go ahead and read Chapters 5 and 6. They are available online,
as you know.
In class: Configuration day to make sure that everyone has a working C++ IDE
and compiler. If time permits, we will also discuss recent material from the
textbook.
|
|
|
T 4/8/14
|
HW due:
1. Read Chapters 5 and 6 (pp. 41-65). Reading notes are required, as always.
2. Short C++ programming assignment. The requirements are listed below.
(a) First, read through all the requirements, and see if you can shorten the
list without changing anything.
(b) The body of the main method must resemble the following:
int
x; //scratch variable
x = 301;
cout << "The reverse of " <<
x << " is " << reverseInteger(x) << endl;
x = 792;
cout << "The reverse of " <<
x << " is " << reverseInteger(x) << endl;
x = 570;
cout << "The reverse of " <<
x << " is " << reverseInteger(x) << endl;
(c) The reverseInteger method, which you will
write, must accept an integer argument between 0 and 999, inclusive. Any
other argument value should cause reverseInteger to
return –9999 as its return value and print a suitable error message.
(d) The reverseInteger method must use at least 3
local variables, at least one of which must be named x. All local variables
must be declared at the beginning of the method. If their meaning is not
completely clear from the names you choose, you must use comments to make
their meaning clear.
(e) At least one "fancy comment block" beginning with /* and ending
with */ is required.
(f) Given an integer of format xyz where all digits x, y, and z are nonzero,
the reverseInteger method is to return the integer zyx (i.e., 3 digits in reverse order). For example, reverseInteger(348) should return 843.
(g) Given an integer of format xyz where one or more of the digits x, y, or z
are 0 (or implied to equal 0 if the integer represented by xyz is less than
100), reverseInteger is to return the integer whose
value equals the integer zyx. For example, reverseInteger(340) should return 43 (not 043), and reverseInteger(802) should return 208.
(h) The value of reverseInteger(0) should equal 0.
(i) An integer having two implied leading zeros, of
format x where x represents a single digit, should cause reverseInteger
to return the value x00. For example, reverseInteger(7)
should return 700.
(j) For an integer having two trailing zeros, e.g., 800, reverseInteger
should return the value of the sole nonzero digit. In this example, reverseInteger(800) should return 8.
(k) Given an integer with exactly one trailing zero, i.e., of format xy0
where x and y are both nonzero digits, reverseInteger
is to return the integer of format yx with no leading
zeros.
|
|
|
W 4/9/14
|
Read Chapters 7 and 8 (pp. 67-87). Reading notes are required, as
always.
|
|
|
Th
4/10/14
|
No class. Tomorrow’s assignment will be a single assignment, not a double
assignment, since the STA sophomores have a required evening event on April
9.
|
|
|
F 4/11/14
|
HW due: Write a simple program that meets the requirements listed
below. Techniques are illustrated in Chapter 8.
(a) The program should ask the user what his or her name is (via the system
console).
(b) The program should accept a line of string input from the user.
Regardless of what that line is, it will be treated as a valid name.
(c) The program should then thank the user, by name, and suggest a good
restaurant. Use the name of a restaurant that you personally enjoy.
|
|
|
M 4/14/14
|
HW due: Write a program that meets the requirements listed below. It
is not expected that everyone will get all the way to the end, since there
are oodles of opportunities to make mistakes. Do the best you can, get as far
as you can, and list in your comments the people who helped you along the
way. Each student needs to write his or her own program. Most of the code is
already written for you below and can simply be copied and pasted. However,
be sure to READ THE COMMENTS!
(a) The program should ask the user for his or her name (using getline).
(b) The program should address the user by name and ask for the user’s birthdate in the format YYYY, MM, and DD on separate
lines of input. In other words, there will be 3 inputs, and there should be a
prompt for each one: year (ENTER), then month (ENTER), then day (ENTER).
(c) The user probably wasn’t born at noon UTC, but this program will assume
that that’s the case, for simplicity. In other words, the user’s birthdate will be treated as MMMMDDYY 12:00:00 UTC.
(d) The program should validate the year (between 1901 and 2013, inclusive)
and issue an error message if the year is not within those bounds.
(e) The program should validate the month (between 1 and 12, inclusive) and
issue an error message if the month is not within those bounds.
(f) The program should validate the day (between 1 and 31, inclusive) and
issue an error message if the day is not within those bounds. Note: Dates such as 19970231 will
therefore be treated as valid. However, you will see that the date arithmetic
that follows later will simply treat such a date as if it had been entered as
19970303.
(g) Determine the current hour, minute, second, day, month, and year (in UTC)
by pasting the following C++ code. Note that you may have to resolve some
naming conflicts manually!
int month, day, year, hour, minute, second; // scratch variables for current time
//scratch variables to hold time
data
time_t rawx;
//time_t
is a standard C++ data structure defined in the ctime
header
//(and that means we need #include
<ctime> at the top of our code)
struct
tm* info; //info is a pointer to the object we get when converting a time
structure
rawx =
time(&rawx); //gets current time (to the
nearest second)
info = gmtime(&rawx); //converts time structure to UTC 24-hour clock
month = info->tm_mon;
month++; //Convert from 0-based month to normal
(1=January, etc.)
day = info->tm_mday
;
year = info->tm_year + 1900;
hour = info->tm_hour;
minute = info->tm_min;
second = info->tm_sec;
(h) Pass those values (month, day, year, hour, minute, second) to a method
called getSeconds, provided below, whose purpose is
to determine how many seconds have elapsed since midnight on January 1, 1900.
Note: There is a bug in the code,
since leap years between 1/1/1900 and the date passed to the method are not
accounted for. If you wish, you can attempt to fix that bug for extra credit.
Be sure to add comment lines if you do that.
int64_t getSeconds(int month,int day,int year,int hour,int minute,int second) {
int monthSeconds; //seconds in the current year, before the
start of the current month
switch (month) {
case 1:
monthSeconds=0;
break;
case 2:
monthSeconds=31*24*3600;
break;
case 3:
monthSeconds=59*24*3600;
if
(year % 4 == 0) {
monthSeconds += 24*3600;
}
break;
case 4:
monthSeconds=90*24*3600;
break;
case 5:
monthSeconds=120*24*3600;
break;
case 6:
monthSeconds=151*24*3600;
break;
case 7:
monthSeconds=181*24*3600;
break;
case 8:
monthSeconds=212*24*3600;
break;
case 9:
monthSeconds=243*24*3600;
break;
case 10:
monthSeconds=273*24*3600;
break;
case 11:
monthSeconds=304*24*3600;
break;
case 12:
monthSeconds=334*24*3600;
break;
default:
cout << "Internal error! Value for month must
be between 1 and 12, inclusive!";
monthSeconds = 0;
}
return (int64_t)
(year-1900)*31536000 + monthSeconds +
(day-1)*24*3600 + hour*3600 + minute*60 + second;
}
(i) Pass the user’s birthdate
information, along with the UTC hour, minute, second of 12, 0, 0, to the getSeconds function.
(j) Subtract the result of (i) from the result of
(h), and display the output in an infinite loop that says
____, you are approximately ___________ seconds old.
Note: The blanks are to be replaced
by the user’s name, which was captured in (a), and the user’s age in seconds,
which is to be continuously updated.
Also note: For young people such as
you, the subtraction can be performed correctly using standard arithmetic.
However, for users that are over age 60 or so, the number of seconds elapsed
may exceed the capacity of a regular “int”
variable. Also, if you save the results before subtracting one from the
other, you should declare variables of type int64_t (equivalent to a long in
Java) to hold the results from requirements (h) and (i).
If your compiler chokes when you try to declare variables of that type, not
to mention the getSeconds method itself, which is
also of that type, you may need to put an #include <cmath>
statement at the top of your code.
(k) Since the output is in an infinite loop, the user must be knowledgeable
enough to click the “red square” to terminate the program.
|
|
|
T 4/15/14
|
HW due: Repair all the problems with your code in the “age in seconds”
application. You may work with other students as long as you document (in
your comments) the assistance that your receive. Outright copying of code is
prohibited, except for the code given in the 4/14 calendar entry.
Note:
1. The documented bug in getSeconds must either be
repaired or properly documented in the
comments.
2. The undocumented bug in getSeconds, the bug that
was found by Emma in period C and by Becky and Jennifer in period E, must be
repaired.
In class: Review.
|
|
|
W 4/16/14
|
Test (100 pts.) on all recent
material. You may be asked to write
short code segments in Java, C++, or both. The time_t
structure will not be tested.
(That’s what reference books are for.) Minor errors (e.g., forgetting an
occasional curly brace or semicolon in either language) may be forgiven. Once
again, terminology—both from the book and from in-class discussions—will be
emphasized. Also, be alert for one or more “critical thinking” questions
concerning situations in which you have almost no experience or direct
knowledge. (Think, for example, of the hiring decision between Bob and Brenda
on the last test.)
|
|
|
Th
4/17/14
|
No class, but your HW is due at 2:00 p.m. today. You can come to MH-102
during your usual period if you wish to have some one-on-one help.
Collaboration with other students is permitted only if you document their
assistance in the comments. Submit your code in the body of your e-mail, not as an attachment. If indentation
is lost, that is regrettable, but we’ll accept it. (Loss of indentation will
not count against you, as long as your original code uses good indentation
practice.) Use the following subject line format when submitting your code
(change Lastname, Firstname
to your own name):
__20140417 LifeSeconds
ver. 0.90 alpha [Lastname, Firstname]
|
|
|
F 4/18/14
|
HW due: Make sure you have submitted your HW project (see yesterday’s
entry), and read Chapter 9 on pp. 89-97. Reading notes are required, as
always.
|
|
|
M 4/21/14
|
HW due:
1. Read Chapter 10 on pp. 99-110. Reading notes are required, as always. For
full credit, notes must conform to the formatting standards specified in the HW guidelines.
2. Write a C++ function called STA_random (or NCS_random, if you prefer) that accepts 3 integers as
parameters. You can (and should) call your 3 integers by more meaningful
names, but I will refer to them here as i, j, and k. Your function
should print k pseudorandom
integers that are between i and j,
inclusive. Your function must avoid the techniques described near the bottom
of p. 104, since those do not work in Eclipse. Instead, you should use the
following boilerplate code:
#include <stdio.h>
#include <stdlib.h>
#include <iostream>
using namespace std;
Then, include a line that “seeds” your
pseudorandom number generator as follows:
srand(31);
The number 31 is merely an example. Use
any nonnegative integer less than 32768 that you wish. Now, you can generate
a pseudorandom double between 0 and 32767 (inclusive) every time you have a
line in your code that looks like this:
double xx =
(double)rand()/RAND_MAX;
So, what do you do with xx? Since xx is
approximately uniformly distributed on the interval [0,1] (that’s math
notation for the interval of real numbers from 0 through 1, inclusive), you
should be able to figure out a way to scale that up to the interval [i, j] that the STA_rand
function should be spanning. Print the result (as an integer, not as a
double), and do this a total of k
times.
This is a moderately challenging task, especially since your textbook gives
you little guidance that you can use. If you cannot finish by Monday, bring a
time log and your written stumbling attempts to class, and we will discuss
them. By Tuesday, you should have a function that is largely bug-free and can
be tested by other students.
|
|
|
T 4/22/14
|
HW due: Finish your STA_random
(or NCS_random) function.
|
|
|
W 4/23/14
|
HW due: Write a program that utilizes good programming
patterns (comments, encapsulation, meaningful variable names, etc.) to
implement the (AX + B) % N linear pseudorandom integer generator discussed in class.
Experiment with different values of A,
B, X0 (seed value), and N (modulus value) to find several combinations that produce
reasonably long and random-looking cycle lengths. N should be a power of 2. The requirements for this assignment
are deliberately left rather vague so that you can creatively explore some
options on your own. For example, you may prefer to hard-code the values of A, B,
X0, and N, or you may prefer to let the user
enter them at runtime. You may wish to have the values A, B, X0, and N passed to a function so that you can
see the results of many efforts at once.
Notation: X as used here denotes
the output of the pseudorandom integer generator. You should use a more
meaningful name. Each value of X is
determined by subjecting the previous
value of X to the (AX + B) % N formula.
Some “cool” features to consider including in your program (try to
incorporate one or more if you can):
1. Auto-detection of the point at which cycling starts to occur
2. Storing outputs in a vector (as suggested in the textbook)
3. Compiling statistics on frequency counts (histogram) to see if the distribution
of outputs is relatively uniform
4. Checking to see if patterns are seen in the absolute value of the
differences between successive outputs
5. Analyzing the distribution of the quotient of 2 successive outputs (a
question that came up in one of the sections)
6. Analyzing outputs for even or odd parity to see if there are any obvious
patterns
|
|
|
Th
4/24/14
|
No class. However, you can come in during C or E
period if you desire some one-on-one assistance with your program.
|
|
|
F 4/25/14
|
HW due:
1. Start a new project called MonteCarlo. This
project will utilize portions of the code you wrote for Tuesday (i.e., STA_random or NCS_random)
and/or portions of the code you wrote for Wednesday (i.e., the (AX + B) % N linear
pseudorandom integer generator that you built) as a way of generating
thousands of random integers between 1 and 6, inclusive.
2. In the comments, explain the reason for your choice of algorithm. For
example, you might not have had sufficient confidence in the uniformity of
the distribution from Wednesday’s assignment, or you might not have gotten
Tuesday’s program (STA_random or NCS_random) to work correctly. Do not use as an excuse the fact that you couldn’t figure out how to
convert integers from 0 through N –
1 (in Wednesday’s program) to integers in the set {1, 2, 3, 4, 5, 6}, because
there is an easy way to do that. (See sample code in the appendix below.)
3. Generate 10,000 pseudorandom integers from 1 through 6 to simulate the
rolls of 5,000 pairs of dice. The question of interest is this: Given that
both dice are odd, what is the probability of rolling a sum of 6?
4. Use counter variables in your program to keep track of the number of pairs
of dice that have been rolled, the number of times that both simulated dice
were odd, and of those, the number of times that the 2 dice added up to 6.
For example, you could have a counter initialized as
int pairsCounter
= 0; //keeps track of # of times a pair of simulated dice
are rolled
and then, after every 2 successful calls to rand() or to your (AX + B) % N linear
pseudorandom integer generator, just do this:
pairsCounter++;
5. Display the following statistics:
Total number of pairs rolled: ___________ [should equal 5000]
Total number of times both dice were odd: ___________
Of those, the total number of times the dice added up to 6: ___________
Estimated probability of a sum of 6, given that both dice are odd:
___________
6. Note that the last blank must be computed as a floating-point value. The
other statistics are all integers. The last blank is computed as the quotient
of the blanks immediately above it. For example, if you have 1260 times that
both dice were odd, and if 441 of those
had a sum of 6, then your probability estimate would equal 441/1260, or 0.35.
Appendix: Sample code for
converting pseudorandom integers into the set {1, 2, 3, 4, 5, 6}
Suppose that your (AX + B) % N linear pseudorandom integer generator has N = 65536. That means that, if you were clever, you might have
been able to find a set of values for A,
B, and X0 (the seed) such that 10,000 or more values will
spew out before you have any repeats.
Let X denote the current output.
Since we know that X is an integer
between 0 and 65535, inclusive, we could simply discard X and request a new one if X
is 60000 or more. That leaves us with X
between 0 and 59999, inclusive. If we integer-divide X by 10000, we should get a result between 0 and 5, inclusive.
Add 1, and we have a perfectly good simulated die roll.
Here is code to do that (assuming that X
or something like it has already been declared and produced as an output):
while (X >=
60000) {
X = (A*X + B) % N; //produce
another value for X
}
int die1 = (X / 10000) + 1;
X = (A*X + B) % N; //produce
another value for X; keep it only if X < 60000
while (X >= 60000) {
X = (A*X + B) % N; //produce
another value for X
}
int die2 = (X / 10000) + 1;
pairsCounter++; //must
increment since we have valid die1 and die2 values
This code could be improved further by encapsulating the (A*X + B) % N logic in a function, but that is not required.
|
|
|
M 4/28/14
|
HW due: Finish up the previously assigned projects.
If your programs are already “code complete” and fully debugged, then you may
take the weekend off. However, feel free to try one of the optional
challenges below.
Optional Challenges
(A) Add a bar-graph output feature to show the distribution of die rolls. For
example, you could design your output to look something like this, with one
“X” for each 40 rolls of a certain value:
Die 1, roll of
1: XXXXXXXXXXXXXXXXXXX
Die 2, roll of 1: XXXXXXXXXXXXXXXXXXXXX
Die 1, roll of 2: XXXXXXXXXXXXXXXXXXXX
Die 2, roll of 2: XXXXXXXXXXXXXXXXXXXXXX
Die 1, roll of 3: XXXXXXXXXXXXXXXXXXXXX
Die 2, roll of 3: XXXXXXXXXXXXXXXXXXXXXX
Die 1, roll of 4: XXXXXXXXXXXXXXXXXXXXX
Die 2, roll of 4: XXXXXXXXXXXXXXXXXXXXX
Die 1, roll of 5: XXXXXXXXXXXXXXXXXXXXX
Die 2, roll of 5: XXXXXXXXXXXXXXXXXXXXX
Die 1, roll of 6: XXXXXXXXXXXXXXXXXXXX
Die 2, roll of 6: XXXXXXXXXXXXXXXXXXXXX
(B) Design a Monte Carlo simulation to estimate the mean number of runs of
length 5 that occur when a fair coin is flipped 100 times. By “run” we mean 5
heads in a row or 5 tails in a row. If 10 or more heads or tails occur
together, we would count that as 2 runs. It may be surprising to you that the
mean number of runs of length 5, when a fair coin is flipped 100 times, is
more than 3.
(C) Modify the simulation in challenge B so that you can estimate the
probability of having at least one run of length 5 when a fair coin is
flipped 100 times. (As you might expect, the probability is close to 1, since
the mean number of runs is more than 3.)
(D) Here’s something you can do even without doing challenges A, B, or C, and
it can be fun. After your program is debugged, you can try it out on friends
or family members.
First, your program should ask the user to enter 100 coin flips. You can
accept 100 individual inputs of H or T, which is rather tedious, or you can
accept a single line consisting of 100 characters, which is also tedious.
Choose whatever approach you prefer, but maybe you would like to accept 10
inputs of 10 flips each. For example, the user might enter these lines:
TTHHTHHTTT
HTHTTHTTHT
HTTHHHHTTT
HTHTHHTTHT
TTTHHTHTHH
THHTHTHTHH
THHHHTHTHT
THHHTTHHHT
HHHTHHTTHH
TTHHHTHTHT
Now, here’s the fun part. Have your program scan the input (considered as a
single 100-character string), looking for “HHHHH” or “TTTTT” as part of the
string. We know that the probability of having at least one run of HHHHH or
TTTTT in a random coin-flip stream is extremely high, but most users don’t
know that. If the user gives you input that includes at least one run of 5,
you could compile some simple statistics on the number of heads and tails and
issue a message thanking the user for taking the time to play the game.
However, if the input includes no runs of HHHHH or TTTTT, then you could
issue a message making fun of the user for trying to pass off a fake list of
coin flips as the real thing. It’s your chance to engage in some mild verbal
abuse:
Hey! Who do you
think you are? That wasn’t a random list of coin flips. Try again!
You can also make fun of the user if there are 62 or more heads (or 62 or
more tails) in the input, since a truly random stream of coin flips would
usually be much closer to the expected 50/50 split. To get 62 or more heads
or tails is something that would happen by chance alone only about 2% of the
time. Thus you would be fairly safe in accusing the user of fakery if there
were 62 or more heads, or 62 or more tails, in the user’s input.
|
|
|
T 4/29/14
|
HW due: Read Chapter 11 (pp. 111-121). Reading notes
are required, as always.
|
|
|
W 4/30/14
|
HW due: Celebrate the end of April by getting a good
night’s sleep, for a change!
|
|
|
Th
5/1/14
|
No class.
|
|
|
F 5/2/14
|
HW due: Start working on the following project.
Chapter 11 will help guide you but will probably not answer all of your
questions.
1. The expectation for Friday is not a completed project. Your objective, for
now, is to produce some written design documentation that will help you work
toward the project. “Written design documentation” means notes that
coherently describe how you intend to proceed. Snippets of code are permitted
but are not yet required to be syntactically valid. More important is to
describe, in a combination of English
sentences and pseudocode,
what it is that you intend to do and how you will do it.
2. Include two or more of the following: a flowchart, some pseudocode that resembles C++ (or even Java, if you
prefer), and personal notes describing what you already know how to do and
what you are still unclear about. Actual C++ code is optional at this stage.
In fact, if you write code but fail to produce your two or more other
required elements, you will not earn full credit.
3. The project requirements are to implement your previous day-of-the-week
algorithm as a member function. In other words, when the user inputs a birthdate, you will validate the date and will create a
object for it (of type Birthdate, a new type that
you have to figure out how to create) that has the day, month, and year as
instance variables (all ints). Then, if the user
requests the day of the week for that date, you will invoke a member function to produce the answer.
4. If you are able to produce working code, that is great, but it is not
expected. In fact, there is a real benefit in taking a little extra time to
think about your design before you implement it.
Note: Design documentation as
described above will earn full credit, even if you have no code at all yet.
Code without design documentation will earn no credit.
|
|
|
M 5/5/14
|
HW due:
1. Prepare higher-quality design documentation for the project described in
the 5/2/14 calendar entry. A flowchart (or equivalent) is required this time.
Note: This flowchart will not
really be for the code you write (since your program is primarily
object-oriented, not procedural). However, show the “START” and the part
where you gather the instance variables for your date object. For the part
where the user may or may not request the day of the week, show a decision
diamond with two branches, one of which includes the entire day-of-the-week
logic that you programmed previously in the course. Note: For goodness’ sake, do not include the code itself. For one
thing, that code was in Java, not C++. For another, this would be a perfect
opportunity to use your hexagon symbol. See additional ideas below if you are
still a little confused.
2. Something to think about: What is the power of encapsulation? Don’t write
your answer down; simply think about it and be prepared to say a few words on
Monday.
3. If your design is sufficiently detailed and you feel confident that you
can implement the steps in your flowchart, you may proceed to coding and
testing. Translating your existing day-of-the-week code from Java to C++
should be relatively easy.
Additional thoughts on part 1
above:
Your design documentation won’t be very lengthy. In fact, you may have
already finished most of it.
The project requirements (see 5/2 calendar entry) say that you are to ask the
user for a birthdate, validate the date, create an
object for it, and then “if the user requests the day of the week for that
date, you will invoke a member function to produce the answer.”
Think of how you might show this in a flowchart:
(a) Ask user for birthdate (parallelogram).
(b) Validate date (rectangles, several of them, with decision diamonds to
determine whether the date is valid).
(c) Create object (rectangle).
(d) Loop in which you wait for some action to occur. In a game, you might
imagine your loop waiting for someone to strike the “show day of week” button
with a direct hit from a high-energy laser (or whatever). But since we don't
have any fancy game engine to use, the easiest way for you to implement the
logic would be to have the program ask the user whether he wishes to have the
day of the week displayed, and as long as the answer is anything other than
“yes,” keep looping. When the answer is “yes” (or at least no longer “no”),
you can have your flowchart branch to the older code you wrote (hexagon),
which denotes the member function for the object.
|
|
|
T 5/6/14
|
HW due: Work on the project that was assigned last
week. Some working code (including struct statement) is expected before the start of class
today. If you are able to produce a fully functioning program that meets all
requirements, so much the better!
During class, we will have some additional time to work. However, be prepared
to show written evidence at the start
of class that you have made progress toward building working code. Your
written evidence may take the form of a program listing (hard copy) or live
code that you display on your screen when your homework is spot-checked;
either format is acceptable for today.
|
|
|
W 5/7/14
|
HW due:
1. Finish your C++ “member function” project. If there are any remaining
bugs, they must be documented in the comments. If there are any portions that
still do not compile, you must document those problems as well.
2. Download the Python
textbook, and skim Chapter 1 (pp. 1-8). Then read Chapters 2 and 3 (pp.
11-29) in more depth, paying special attention to the differences between Python
and the other languages we have studied. Reading notes are required, as
always.
|
|
|
Th
5/8/14
|
No class.
|
|
|
F 5/9/14
|
HW due:
1. E-mail your completed “member function” project code by e-mail, using this
subject line format:
__20140509 MemberFunction
ver. 0.90 alpha [Lastname, Firstname]
Remember to paste your code into the body of the message. Do not send an
attachment. All known issues/bugs (including lack of indentation, if that is
a feature of your e-mail client) should be documented in the comments. If
your code does not compile yet, be sure to note that, also.
2. Visit www.python.org, and click on
the orange square marked with the prompt symbol. It looks like this: >_
3. Use the interactive shell to execute a “Hello, world!” program. (This is a
one-liner.)
4. Use the interactive shell to execute the following program that prints the
first 15 nontrivial Fibonacci numbers, namely 2 through 1597 (you may omit
the comments):
i=1
#first Fibonacci number (before start of nontrivial numbers)
j=1 #second Fibonacci number (still before start of
nontrivial numbers)
k=0 #scratch variable for a nontrivial value; will be
adjusted in loop
n=1 #loop counter for nontrivial Fibonacci outputs
while n<=15:
k=i+j
#next nontrivial Fibonacci number
print(k,"is
nontrivial output no.",n)
i=j #update
i in preparation for next iteration
j=k #update
j in preparation for next iteration
n=n+1
Note: You have to press the ENTER key twice at the end so
that your program will run.
5. Modify the program you wrote in #4 in order to find the 20th nontrivial
Fibonacci number. Write the answer in your homework binder, on a sheet dated
5/9/2014.
|
|
|
M 5/12/14
|
HW due: Read Chapter 5 (pp. 41-49), and solve both
parts (1 and 2) of Exercise 5.4.
Note: Use of Python (interactive or
compiled) is encouraged, but you may use Java or C++ to solve Exercise 5.4 if
you wish. In class today, we will work through the Python solution as a
group.
|
|
|
T 5/13/14
|
HW due: Practice your Excelcise
(see 10/28/2010 calendar entry here).
|
|
|
W 5/14/14
|
HW due: Continue practicing your Excelcise.
Everyone must pass. The 5-minute time limit is reasonable, but only if you
practice your skills.
|
|
|
Th
5/15/14
|
HW due: Continue practicing.
|
|
|
F 5/16/14
|
No required class, but the room will be open during
C, E, and F periods if you wish to come in and try to pass. Personalized one-on-one
help will also be available during those times.
|
|
|
M 5/19/14
|
Guest
Speaker: Mr. Joseph Morris of MITRE
Corporation will speak on the subject of cybersecurity.
Mr. Morris is a 1962 graduate of STA and has more experience in the computer field
than all 34 of us put together!
Please note, nine (9) students in C period and eight (8) students in E period
still need to pass the Excelcise. You may come in
during F period or after school.
|
|
|
T 5/20/14
|
Review day. Please note, the students listed below
still need to pass the Excelcise. You may come in
during F period or after school.
C period students: Daniel, Justin, Zack, Hugh, Nick, Neil
E period students: Ellie, Ryan, John, William, Thomas, Julia, Nat
|
|
|
W 5/21/14
|
Field Trip
to the NSA/National Cryptologic Museum. Coat and tie are not required (per yesterday’s
lunch announcement by Headmaster Wilson), but please wear a shirt with a collar (males) or
respectable non-beach wear (females). No sandals or flip-flops, please. We
are ambassadors of STA/NCS and want to represent the schools well. Bus
departs at 8:00 a.m. from the service road near the Martin Gym. We will be
back on campus by 1:15 p.m., in time for lunch.
Note: If you are unable to go on
the field trip, you must do this
alternate assignment (do problems 1-8 all, and ignore the indications about
“Form”). Turn in your alternate assignment at lunch to Mr. Hansen at table
38. The alternate assignment will be graded. NCS students who are not on the
field trip may submit the alternate assignment for grading at the start of
class on Friday.
|
|
|
Th
5/22/14
|
No class. MH-102 will be open for Excelcise competition. There are still 12 students who
have not passed.
|
|
|
F 5/23/14
|
Exam review.
Check out Nick K.’s nearly excellent quizlet at this link.
|
|
|
T 5/27/14
|
Final Exam,
2:00–4:00 p.m., SB 201-202.
Format will be as follows:
Part I: Vocabulary and terminology
(approximately 35 points). This section may include a mixture of
fill-in-the-blank, matching, and/or multiple-choice questions.
Part II: Essays (approximately 20
points). Thoughtful responses, using complete sentences, are required.
Topics may include specific issues related to good coding (patterns),
avoidance of bad coding (antipatterns), or other
matters discussed during the course.
Part III: Coding and translations
(approximately 45 points). Code may be provided in Java, C++, or Python,
most likely with bugs and/or missing comments. You may be asked to correct
the bugs, add comments, and/or translate into other languages. Since we did
not do much with Python, your ability to write Python code will not be tested
strenuously. Calling by reference will not be tested.
You may bring a single “cheat sheet” (standard 8.5" by 11" size, or
filler paper size) on which you have written your boilerplate code. Thus, you
will not have to memorize things like
public
static void main(String[] args) {
or
#include
<iostream>
#include <cstdlib>
#include <stdio.h>
#include <stdlib.h>
#include <vector>
using namespace std;
You will probably want to review the textbook sections having to do with
declaring and traversing strings and arrays, just to make sure that you
remember how the syntax works. If you want to include a few lines of sample
code on your cheat sheet, that will be acceptable.
Important: If you choose to make a
cheat sheet, be sure to write your name on it. Standard size is required. (No
mini-sized cheat sheets!) Your sheet will be collected at the beginning of
the exam, checked for suitability, and returned to you while you are working
on your vocabulary and terminology section.
|
|